Views: 10 Author: Site Editor Publish Time: 2020-05-18 Origin: Site
After the veneer is dried by the veneer dryer, the veneer is evaluated in terms of shrinkage, deformation, moisture content and its distribution.
First talk about the shrinkage and deformation of the veneer. Wood can absorb a certain amount of water, and the size of the wood will change due to the moisture content. When the moisture content is reduced, the size of the wood will become smaller, which is also called shrinkage. Conversely, if the moisture content of the wood increases, the size of the wood will increase, which we also call the swelling.
After the veneer is dried by the veneer dryer, the form of the veneer will change, mainly manifested in the shrinkage, warpage, cracking of the veneer in all directions, and the wave at the end of the veneer.
When the veneer is cut by the veneer peeling machine(rotary cutting machine), it is carried out along the direction of the annual ring of wood. Therefore, the shrinkage on the width of the veneer is equivalent to the chordwise shrinkage of the wood, and the shrinkage on the thickness is equivalent to the radial shrinkage of the wood. The longitudinal direction is longitudinal.
The state of moisture content and thickness is different, and the state of veneer drying is also different. When the thickness of the veneer increases, the tax rate will increase with drying. Therefore, the internal wet layer will hinder the shrinkage of the surface layer, and the shrinkage of the surface layer is limited. small. In the direction, the shrinkage of thick veneer is greater than that of thin veneer. To put it simply, thick veneers have a smaller shrinkage rate in the width direction than thin veneers, and thick veneers have a larger shrinkage rate in the thickness direction.
When drying quickly, the higher the temperature, the smaller the shrinkage rate.
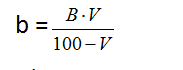
If the veneer is cut first and then dried, when cutting the wet veneer, it is necessary to leave enough width to shrink the margin. Dry shrinkage margin considered by board width b:
B = width of dry veneer (mm)
V = shrinkage rate in the width direction (%).
If it is first dried and then sheared, there is no need to consider leaving a drying shrinkage. In continuous drying, the advancing direction of the veneer is perpendicular to the horizontal grain direction of the veneer, so the tensile strength of the horizontal grain of wood will be relatively low. After the moisture content of the veneer reaches the saturation point of the fiber after drying, the conveying speed of the veneer is lower.
The thickness margin d on the thickness of the veneer should also be considered when rotary cutting:
D = Dry board thickness (mm)
Vh = Dry shrinkage in the thickness direction (%)
Regarding the shrinkage of veneer drying quality control, I hope it will help you.
